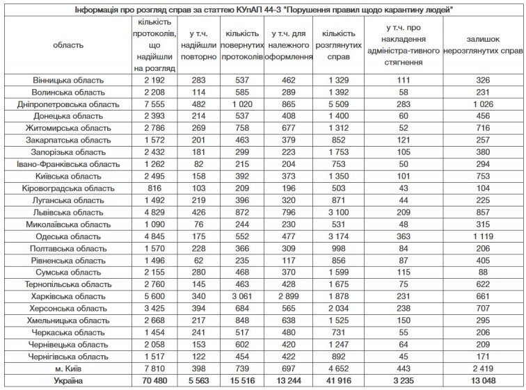
Суды оштрафовали 363 жителя Одесской области, нарушивших правила карантина. Это второй показатель по Украине после столицы.
Об этом говорится в оперативной сводке Государственной судебной администрации.
Всего с начала карантина в Одесской области правоохранители составили более 4 тысяч протоколов о нарушении правил карантина. Значительную часть из них, а именно 552, суды отправили назад в полицию для надлежащего оформления.
Всего в судах региона было рассмотрено 3 174 дел, и только 363 из них закончились присуждением штрафов.
Ключевые слова: карантина, Одесской, области, оштрафовали, Всего, жителя, столицы, после, Украине, показатель, второй, правила, нарушивших, отправили, назад, полицию, надлежащего, оформления, закончились, судах
Если вы обнаружили ошибку на этой странице, выделите ее и нажмите Ctrl+Enter.
Внимание! Мнение авторов и комментаторов может не совпадать с мнением Администрации сайта














